Aranjamente De 4 Luate Cate 4





2 Combinari De X Luate Cate 4 Aranjamente De X Luate Cate 2 Cine Stie Va Rog Sa Ma Ajute Brainly Ro

2 Combinari De X Luate Cate 4 Aranjamente De X Luate Cate 2 Cine Stie Va Rog Sa Ma Ajute Brainly Ro

Combinari De 5 Luate Cate 4 Aranjamente De 5 Luate Cate 4 Brainly Ro

Combinari De 5 Luate Cate 4 Aranjamente De 5 Luate Cate 4 Brainly Ro

Combinari De 4 Luate Cate 0 Combinari De 4 Luate Cate 1 Combinari De 4 Luate Cate 2 Combinari De Brainly Ro

Combinari De 4 Luate Cate 0 Combinari De 4 Luate Cate 1 Combinari De 4 Luate Cate 2 Combinari De Brainly Ro

Aranjamente De N Elemente Luate Cate 6 Aranjamente De N Elemente Luate Cate 5 Supra Aranjamente De N Brainly Ro

Aranjamente De N Elemente Luate Cate 6 Aranjamente De N Elemente Luate Cate 5 Supra Aranjamente De N Brainly Ro

Formule Online Probleme Si Exercitii Rezolvate Combinari De 10 Luate Cate 4

Formule Online Probleme Si Exercitii Rezolvate Combinari De 10 Luate Cate 4

Aranjamente De 6 Luate De 2 Plsss Brainly Ro

Aranjamente De 6 Luate De 2 Plsss Brainly Ro

Aranjamente De 6 Luate De 2 Plsss Brainly Ro

Elemente De Combinatorica Part 4 8 Combinari Youtube

Elemente De Combinatorica Part 4 8 Combinari Youtube

Cum Se Rezolva Aranjamente De X 2 Luate Cate 2 42 Brainly Ro

Cum Se Rezolva Aranjamente De X 2 Luate Cate 2 42 Brainly Ro

Formule Online Probleme Si Exercitii Rezolvate Combinari De 10 Luate Cate 4

Formule Online Probleme Si Exercitii Rezolvate Combinari De 10 Luate Cate 4

Formule Online Probleme Si Exercitii Rezolvate Aranjamante De N Luate Cate 5 18 X Aranjamanete De N 2 Luate Cate 4

Formule Online Probleme Si Exercitii Rezolvate Aranjamante De N Luate Cate 5 18 X Aranjamanete De N 2 Luate Cate 4

Matematica Combinari 9 3 Pg2 Youtube

Matematica Combinari 9 3 Pg2 Youtube

Aranjamente Notiunea De Aranjament Youtube

Aranjamente Notiunea De Aranjament Youtube

Formule Si Exemple Factorial Permutari Aranjamente Combinari Exercitii Rezolvate Matematica Bac Jitaruionelblog Pregatire Bac Si Evaluarea Nationala 2020 La Matematica Si Alte Materii Materiale Lectii Formule Exercitii Rezolvate

Formule Si Exemple Factorial Permutari Aranjamente Combinari Exercitii Rezolvate Matematica Bac Jitaruionelblog Pregatire Bac Si Evaluarea Nationala 2020 La Matematica Si Alte Materii Materiale Lectii Formule Exercitii Rezolvate

Pariuri Sistem Permutări Aranjamente Combinări La Casele De Pariuri Bettinginside Ro

Pariuri Sistem Permutări Aranjamente Combinări La Casele De Pariuri Bettinginside Ro

Combinări De 4 Luate Cate 0 Combinări De 4 Luate Cate 1 Combinări De 4 Luate Cate 2 Combinări De Brainly Ro

Combinări De 4 Luate Cate 0 Combinări De 4 Luate Cate 1 Combinări De 4 Luate Cate 2 Combinări De Brainly Ro

Aranjamente De X 1 Luate Cate X 1 360 Brainly Ro

Aranjamente De X 1 Luate Cate X 1 360 Brainly Ro

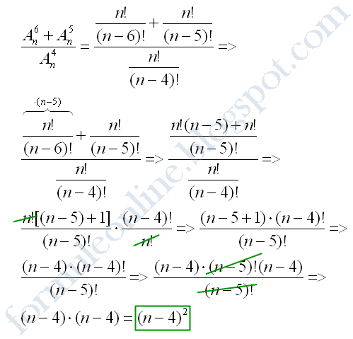
Formule Online Probleme Si Exercitii Rezolvate Aranjamente De N Luate Cate 6 Aranjamente De N Luate Cate 5 Supra Aranjamente De N Luate Cate 4

Formule Online Probleme Si Exercitii Rezolvate Aranjamente De N Luate Cate 6 Aranjamente De N Luate Cate 5 Supra Aranjamente De N Luate Cate 4

Matematica Online Bac Inecuatii Cu Aranjamente De N Obiecte Luate Cate K Youtube

Matematica Online Bac Inecuatii Cu Aranjamente De N Obiecte Luate Cate K Youtube

Combinare Wikipedia

Combinare Wikipedia

Aranjamente De N 1 Luate Cate 5 18 Aranjamente De N 3 Luate Cate 4 Repede Va Rog Brainly Ro

Aranjamente De N 1 Luate Cate 5 18 Aranjamente De N 3 Luate Cate 4 Repede Va Rog Brainly Ro

Source : pinterest.com